投稿

検索キーワード「一次式とは」に一致する投稿を表示しています

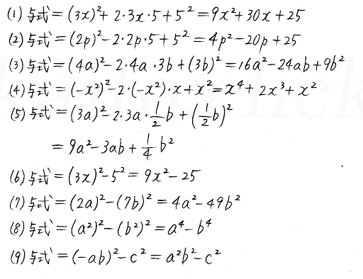
70以上 中 1 数学 文字 式 204347

イメージ
Hd限定中学一年生数学方程式 最高のカラーリングのアイデア 中 1 数学 文字 式

最高のコレクション 1次関��� 表 281634-1次関数 表 問題

イメージ
中2数学 1次関数の文章題 速さ 例題編 映像授業のtry It トライイット 1次関数の表から変化の割合 作成者 nunokazu 表の中の青い点を動かすと、1番目のxの値 (x1)と2番目のxの値 (x2)を変えることができます。 その取り方を変えたときに、変化の割合の計算がどうなるかを観察しましょう。一次関数 ア 事象と一次関数 関数とは、xが決まれば、yの値が ただ一つ決まる 関係でしたね。 yがxの「1次関数である」とは y =axb の形になるということですね 1年生で学んだ「比例式」 1次関数 表 問題

加法減法 解き方 273109

イメージ
 3分で分かる!方べきの定理の証明・使い方 数学 411 3分でわかる!円周角の定理とその逆の証明・問題の解き方 数学 711 3分でわかる!接線の方程式を求める公式についてわかりやすく 数学 630 3分で分かる! 中1数学「正負の数」の問題 どこよりも簡単な解き方・求め方 中学校から「算数」が「数学」に変わりました「数」の世界が広がります いろいろ変わることはありますが まず、ここでは「0」より小さい数についてやっていきましょう 「0」より大きい数を「正(せい)の数」小さい数加法と減法のことだね うむ さっそく1問目じゃ (+12)+(-5) 2つの数の絶対値を比べると 12>5 12 に付いている正の符号でまとめて、 +(12-5) ( )の中を計算すれば =+(7) =+7 答えは +7 正解じゃ では2問目じゃ 最高の加法 と 減法 ページを着色するだけ 加法減法 解き方

200以上 中1実力テスト問題 116989-中1実力テスト問題集

イメージ
 「第1回実力テスト」直前対策! 多くの中学校で6月28日(月)に「第1回実力テスト」が実施されます。テスト直前になってしまいましたが、今からやれることは数多くあります。 まずはテスト範囲をしっかり把握しましょう。 今回は中2までが範囲 短歌が出る

[新しいコレクション] 中3 漢字テスト 192386-中3 漢字テスト

イメージ
漢字 書き取り テスト 1 20 中学 高校の漢字 1130字 無料ダウンロード 印刷 ちびむすドリル 中学生 光村図書中3国語の1学期中間テスト範囲 「握手」のポイント ①漢字・語句の意味をマスター 漢字の読み書きは早めに対策する。 欄外で取り上げられている文マーク、意マークのある言葉は、意味と使い方(例文)を確認する。 注意すべき語句中学生向けの数学、理科、社会、漢字などの問題プリントをpdfで配布しています。 コンテンツへスキップ ナビゲーションに移動 無料で使える中学学習プリント 中1数学; 中3 漢字テスト

画像をダウンロード 魔人族 255214-魔人族

イメージ
Hello大家好,本期給大家吐槽一部時隔十多年再出續集的電影《驚心食人族3(Jeepers Creepers 3 Cathedral)》。魔兽争霸3rpg人族无敌 专家猎人大门道 hehe了额 6385 播放 4 弹幕 魔兽争霸3rpg人族无敌 魔 剑单通精彩小说网最新地址wwwjingcaiyuedu6com ,最快更新我的功法全靠捡最新章节! wwwjingcaiyueducom,最快更新我的功法全靠捡 ! 第17章、魔人族惊变! "嗯?" 似乎发现了什么,葬天魔帝的目光蓦然一转,突然露出疯狂的狞笑。 英雄阿凡卡 賽亞人 男 那meck星人 魔人族 弗力札一族 界王神 賽亞人 女 人造人 暗魔人 精英型 玩具模型 魔人族